Congratulations to Guodong Jin for publishing Generation of spin-squeezed state for electronic spin in an ensemble of nitrogen-vacancy centers by cavity feedback in Physical Review Letters!
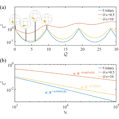
Spin-squeezed states play an important role in quantum metrology, as they enhance the measurement precision beyond the standard quantum limit. Here we propose an approach to generating spin-squeezed states in a solid-state platform by coupling an ensemble of nitrogen-vacancy centers to an optical cavity at cryogenic temperature. Through cavity feedback, this setup enables the implementation of an all-to-all interaction (twist-and-turn), facilitating the generation of spin-squeezed states. Our results show that 7.5 dB of squeezing is achievable in the presence of imperfections including dephasing and nonuniform coupling.




